ГОСУДАРСТВЕННЫЙ СТАНДАРТ
СОЮЗА ССР
РАСТВОРИТЕЛИ МАРОК
Р-4, Р-4А, Р-5, Р-5А, Р-12
ДЛЯ ЛАКОКРАСОЧНЫХ МАТЕРИАЛОВ
ТЕХНИЧЕСКИЕ УСЛОВИЯ
ГОСТ 7827-74
ИЗДАТЕЛЬСТВО СТАНДАРТОВ
СОДЕРЖАНИЕ
|
1. МАРКИ И ТЕХНИЧЕСКИЕ ТРЕБОВАНИЯ 2. ПРАВИЛА ПРИЕМКИ 3. МЕТОДЫ ИСПЫТАНИЙ 4. УПАКОВКА, МАРКИРОВКА, ТРАНСПОРТИРОВАНИЕ И ХРАНЕНИЕ 5. ГАРАНТИИ ИЗГОТОВИТЕЛЯ 6. ТРЕБОВАНИЯ БЕЗОПАСНОСТИ 7. ТРЕБОВАНИЯ ОХРАНЫ ОКРУЖАЮЩЕЙ СРЕДЫ ПРИЛОЖЕНИЕ 1 Нормативные документы, действующие в Российской Федерации ИНФОРМАЦИОННЫЕ ДАННЫЕ |
ГОСУДАРСТВЕННЫЙ СТАНДАРТ СОЮЗА ССР
|
РАСТВОРИТЕЛИ МАРОК Р-4, Р-4А, Р-5, Р-5А, Р-12 ДЛЯ ЛАКОКРАСОЧНЫХ МАТЕРИАЛОВ Технические условия Solvents of grades Р-4, Р-4А, Р-5, Р-5А, Р-12 for paint materials. Specifications |
ГОСТ 7827-74 |
(Измененная редакция. Изм. № 5)
Срок действия с 01.01.75
до 01.01.95
Настоящий стандарт распространяется на растворители марок Р-4, Р-4А, Р-5, Р-5А, Р-12, представляющие собой смеси летучих органических растворителей: сложных эфиров, кетонов, ароматических углеводородов.
Растворители предназначаются для разбавления перхлорвиниловых и других лакокрасочных материалов.
(Измененная редакция, Изм. № 4).
1.1. В зависимости от рецептуры и назначения марки растворителей указаны в табл. 1.
Таблица 1
| Наименование марки | Код ОКП | Назначение растворителя |
|---|---|---|
| Р-4 | 23 1912 2500 | Для разбавления лакокрасочных материалов на основе поливинилхлоридных хлорированных Смол ПСХ ЛС и ПСХ ЛН, сополимеров винилхлорида, эпоксидных смол и других пленкообразующих веществ (за исключением эмали ХВ-124 серой и защитной) |
| Р-4А | 23 1912 3300 | Для разбавления лакокрасочных материалов на основе поливинилхлоридных хлорированных смол ПСХ ЛС и ПСХ ЛН (в том числе эмалей ХВ-124 серой и защитной), сополимеров винилхлорида, эпоксидных смол и других веществ |
| Р-5 | 23 1912 2600 | Для разбавления лакокрасочных материалов на основе смол ПСХ ЛС, ПСХ ЛН, каучуков, эпоксидных, полиакриловых, кремнийорганических смол и других пленкообразующих веществ |
| Р-5А | 23 1912 3400 | Для разбавления лакокрасочных материалов (па основе смол ПСХ ЛС, ПСХ ЛН, каучуков, эпоксидных, полиакриловых кремнийорганических смол и других пленкообразующих веществ), технология применения которых исключает возможность использования растворителя Р-5 |
| Р-12 | 23 1912 0700 | Для разбавления лакокрасочных материалов на основе ПСХ ЛН, ПСХ ЛС, полиакриловых смол и других пленкообразующих веществ |
(Измененная редакция, Изм. № 2, 3, 4).
1.2. Растворители должны соответствовать требованиям ГОСТ 31089-2003 и настоящего стандарта и изготавливаться по рецептуре и технологическому регламенту, утвержденным в установленном порядке, причем массовой доли бутилацетата должно быть для марок: Р-4 - не более 12 %, Р-4А - отсутствие, Р-5 - не более 10 %, Р-5А - не более 30 %.
(Измененная редакция, Изм. 3, 4).
(Новая редакция. Изм. № 5)
1.3. По физико-химическим показателям растворители должны, соответствовать нормам, указанным в табл. 2.
Таблица 2
| Наименование показателя | Норма для марки | Метод испытания | |||||||
|---|---|---|---|---|---|---|---|---|---|
| Р-4 | Р-4А | Р-5 | Р-5А | Р-12 | |||||
| 1. Цвет и внешний вид | Бесцветная или слегка желтоватая однородная прозрачная жидкость без видимых взвешенных частиц | По п. 3.2 | |||||||
| 2. Массовая доля воды по Фишеру, %, не более | 0,7 | 0,7 | 1,0 | ПоГОСТ 14870-77 ип. 3.3 настоящего стандарта | |||||
| 3. Летучесть по этиловому эфиру | 5-15 | 9-15 | 8-14 | По п. 3.4 | |||||
| 4. Кислотное число, мг КОН/г, не более | 0,07 | 0,07 | 0.10 | ПоГОСТ 2 3.5 55-80 ип. 3.5настоящего стандарта | |||||
| 5. Число коагуляции, %, не менее | 24 | 30 | 22 | По п. 3.6 | |||||
| 6. Разбавляющее действие |
Не должно наблюдаться свертывания и расслаивания ЛКМ. После высыхания не должно быть поведения пленки на поверхности, а также белесоватых или матовых пятен |
По п. 3.7 | |||||||
| 7. Температура вспышки в закрытом тигле, °С, не ниже | Минус 10 | Минус 8 | Минус 12 | Минус 3 | 5 | По ГОСТ 12.1.044 | |||
(Измененная редакция, Изм. № 4, Изм. № 5).
2.1. Правила приемки - по ГОСТ 9980.1-86
Показатель 7 изготовитель определяет периодически не реже одного раза в течение одного года.
(Измененная редакция, Изм. № 1, 4, Изм. № 5).
2.2, 2.3. (Исключены, Изм. № 1).
3.1. Отбор проб - по ГОСТ 9980.2-86
3.2. Определение цвета и внешнего вида
3.2.1. Применяемые посуда и реактивы:
Цилиндр 1-100-2 по ГОСТ 17770
Калий двухромовокислый по ГОСТ 4220, раствор с массовой долей 0,002 %.
(Новая редакция. Изм. № 5)
3.2.2. Проведение испытания
Внешний вид и цвет растворителя определяют визуально. Испытуемый растворитель наливают в мерный цилиндр из бесцветного стекла вместимостью 100 см3, рассматривают его в проходящем свете и отмечают отсутствие мути, расслаивания и взвешенных частиц.
Цвет растворителя, помещенного в цилиндр, в проходящем свете на фоне белой бумаги должен быть не темнее водного раствора двухромовокислого калия с массовой долей 0,002%, помещенного в такой же цилиндр.
3.1, 3.2. (Измененная редакция, Изм. № 4).
3.2.1, 3.2.2. (Введены дополнительно, Изм. № 4).
3.3. Массовую долю воды по Фишеру определяют по ГОСТ 14870-77 методом электрометрического титрования, способ 2. В качестве растворителя применяют метанол, пиридин или метилцеллозольв. При определении воды в карбонильных соединениях в качестве растворителя применяют пиридин. Допускаемые расхождения двух параллельных определений, проводимых одним исполнителем, - 10% и разными исполнителями - 15% относительно средней арифметической величины. Допускается определять содержание воды методом визуального титрования по ГОСТ 14870-77, способ 3, при этом навеску испытуемого растворителя берут в количестве 1,00-2,00 г.
(Измененная редакция, Изм. № 3, 4, Изм. № 5).
3.4. Определение летучести по этиловому эфиру.
3.4.1. Применяемые материалы и оборудование:
эфир этиловый технический;
фильтр беззольный;
бюретка 1-3-2-25-0,1 по ГОСТ 29251;
шкаф деревянный;
зажим деревянный;
секундомер;
термометр по ГОСТ 28498 с диапазоном измерения температур от 0°С до 100°С.
Допускается использовать приборы, посуду и реактивы с аналогичным классом точности и квалификацией по другим нормативным документам или импортные.
(Измененная редакция, Изм. № 4, Изм.№ 5).
3.4.2. Проведение испытания
Летучесть по этиловому эфиру определяют в специальном деревянном шкафу размером 280×180×420 мм, который имеет два отверстия: одно в верхней, а другое в боковой стенке. Передняя и задняя стенки представляют собой дверцы, в середине которых расположены смотровые стекла диаметром по 100 мм каждое.
В верхнем отверстии шкафа укрепляют бюретку, а в боковом - свободно вращающийся деревянный зажим для закрепления фильтра.
Беззольный фильтр устанавливают зажимом внутри шкафа в горизонтальном положении, на фильтр спускают каплю этилового эфира из бюретки и пускают секундомер. Затем фильтр устанавливают поворотом зажима в вертикальном положении между смотровыми стеклами и по секундомеру определяют момент исчезновения пятна этилового эфира на фильтре, наблюдая через; смотровые стекла. Летучесть определяют при температуре (20±2)°С. Затем бюретку промывают и наполняют испытуемым растворителем. Время испарения его определяют так же, как этилового эфира. Одинаковую скорость истечения капли эфира и испытуемого растворителя обеспечивают одинаковой высотой жидкостей в бюретке. Беззольные фильтры должны быть одинакового размера и толщины.
(Измененная редакция, Изм. № 2, 4).
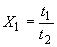
3.4.3. Обработка результатов.
где t1 - продолжительность испарения испытуемого растворителя, с;
t2 - продолжительность испарения этилового эфира, с.
(Измененная редакция, Изм. № 4).
(Новая редакция. Изм. № 5)
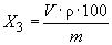
3.5. Кислотное число определяют по ГОСТ 23955-80 (разд. 3).
В коническую колбу Кн-1-250 ТС по ГОСТ 25336 отмеряют пипеткой 1-2-2-50 по ГОСТ 29227 50 см3 испытуемого растворителя и титруют раствором гидроокиси калия молярной концентрации с (КОН) = 0,05 моль/дм3 в присутствии фенолфталеина. Определение проводят при температуре (20 ± 2) °С.
При определении кислотного числа растворителей нагревание на водяной бане отобранной пробы перед проведением испытания проводят при 40°С в течение 30 мин с применением воздушного холодильника.
При определении кислотного числа растворителей, находящихся в хранилищах (накопительных емкостях), где в качестве инертного газа применяется углекислый газ (СО2), нагревание отобранной пробы перед проведением испытания проводят на кипящей водяной бане в течение 30 мин с холодильником ХШ-1-300 29/32 ХС (ГОСТ 25336-82) или холодильником ХПТ-2-400 29/32 ХС (ГОСТ 25336-82).
где V - объем раствора гидроокиси калия молярной концентрации с (КОН) = 0,05 моль/дм3 точно 0,05 моль/дм3, мг/см3;
2,8 - титр раствора гидроокиси калия молярной концентрации с (КОН) = 0,05 моль/дм3 точно 0,05 моль/дм3, мг/см3;
ρ - плотность растворителя, измеренная перед отбором пробы в колбу для титрования, г/см3.
(Измененная редакция, Изм. № 4, Изм. № 5).
3.5.1-3.5.3. (Исключены, Изм. № 3).
3.6. Определение числа коагуляции
3.6.1. Применяемые аппаратура, материалы:
смола поливинихлоридная хлорированная средневязкая ПCX-ЛС;
спирт этиловый ректификованный технический по ГОСТ 18300-87, высшего сорта;
весы лабораторные среднего класса точности по ГОСТ 24104
бюретка I-3-2-100-0,1 по ГОСТ 29251;
колба коническая Кн-1-250 ТС по ГОСТ 25336.
Допускается использовать приборы, посуду и реактивы с аналогичным классом точности и квалификацией по другим нормативным документам или импортные.
(Измененная редакция.Изм. № 5) .
3.6.2. Проведение испытания
Для определения числа коагуляции растворителей марок Р-4, Р-4А, Р-5, Р-5А, Р-12 применяют смолу марки ПСХ-ЛС.
В коническую колбу вместимостью 250 см3 помещают 2,50 г сухой смолы и прибавляют 97,50 г испытуемого растворителя. Колбу плотно закрывают. Содержимое колбы периодически взбалтывают (через 10-15 мин). После получения однородного раствора к нему добавляют из бюретки при постоянном взбалтывании этиловый спирт до появления неисчезающей мути пли осадка на стенках колбы.
Испытание проводят при (20±2) °С.
(Измененная редакция, Изм. № 2, 3, 4).
3.6.3. Обработка результатов
где V - объем этилового спирта, добавленный к раствору смолы см3;
m - масса навески раствора смолы (смола и растворитель), г;
ρ - плотность этилового спирта при температуре определения, г/см3.
(Измененная редакция, Изм. № 4).
3.7. Разбавляющее действие
3.7.1. Применяемые аппаратура, материалы:
вискозиметр типа ВЗ-246 с диаметром сопла 4 мм;
сито с сеткой нормальной точности № 01-02 по ГОСТ 6613
секундомер;
микрометр по ГОСТ 6507
пластинки из стали марок 08 кп и 08 пс размером 150×70 мм, толщиной 0,5 - 1,0 мм по ГОСТ 16523
эмаль ХВ-16 черного, темно-коричневого или синего цвета по технической документации. Допускается применение других марок эмалей, для разбавления которых применяют данные растворители.
(Введен дополнительно. Изм. № 5).
3.7.2. Условия проведения испытаний:
температура окружающего воздуха - (20 ± 2) °С;
относительная влажность окружающего воздуха - (65 ± 5) %.
(Введен дополнительно. Изм. № 5).
3.7.3. Подготовка к испытанию
Для определения разбавляющего действия растворителей марок Р-4, Р-4А, Р-5, Р-5А, Р-12 применяют эмаль ХВ-16 черного, темно-коричневого или синего цвета по нормативной документации.
Перед испытанием эмаль ХВ-16 разбавляют испытуемым растворителем до рабочей вязкости 14 - 22 с по вискозиметру типа ВЗ-246 с диаметром сопла 4 мм при температуре (20 ± 2) °С.
Разбавленную эмаль фильтруют через сито с сеткой нормальной точности № 01-02 по ГОСТ 6613
(Введен дополнительно. Изм. № 5).
3.7.4 Проведение испытания
Приготовленную эмаль ХВ-16 наносят при помощи краскораспылителя до полного укрытия окрашиваемой поверхности пластин из стали марок 08 кп или 08 пс по ГОСТ 16523 Толщина покрытия окрашиваемой поверхности пластин должна быть не менее 20 мкм.
Толщину покрытия определяют микрометром по ГОСТ 6507
Во время высыхания покрытия при температуре (20 ± 2) °С и относительной влажности (65 ± 5) % наблюдают за характером изменения поверхности.
Растворитель выдерживает испытание, если после высыхания отсутствуют свертывание и расслаивание материала, побеление пленки на поверхности, а также белесоватые или матовые пятна».
(Введен дополнительно. Изм. № 5).
4.1. Упаковка - по ГОСТ 9980.3 (группа 16) и ГОСТ 26319
Растворители упаковывают в узкогорлую металлическую тару (канистры, фляги, бочки, барабаны) по ГОСТ 5105, ГОСТ 5799, ГОСТ 13950 ГОСТ 6247, ГОСТ 30765. ГОСТ 21029 и другой технической документации.
Растворители, предназначенные для розничной торговли, упаковывают в металлические канистры вместимостью до 10 дм3 по ГОСТ 5105, металлические банки по ГОСТ 30766 и ГОСТ 6128, в стеклянную тару для бытовой химии по нормативной документации, в полимерную потребительскую тару из полиэтилентерефталата по нормативной документации.
Потребительская тара с растворителем должна быть упакована в транспортную тару в соответствии с ГОСТ 9980.3
Укупорочные средства тары должны обеспечивать герметичность упаковки и быть стойкими к воздействию растворителей. Требования к укупорочным средствам должны быть указаны в нормативном документе на конкретный вид тары или на конкретный вид укупорочного средства.
4.2. Маркировка - по ГОСТ 9980.4
Транспортная маркировка - по ГОСТ 14192 с нанесением манипуляционных знаков «Беречь от солнечных лучей», «Верх», «Герметичная упаковка» и знака опасности по ГОСТ 19433 класс 3, подкласс 3.2, черт. 3, классификационный шифр 3212. Номер ООН 1263.
4.3. Транспортирование и хранение - по ГОСТ 9980.5
Растворители железнодорожным транспортом транспортируют в собственных цистернах грузополучателя (грузоотправителя) или арендованных в соответствии с Правилами перевозок железнодорожным транспортом грузов наливом в вагонах-цистернах и в вагонах бункерного типа для перевозок нефтебитума, а также в специализированных контейнерах-цистернах, предназначенных для перевозки жидких опасных грузов класса 3, в соответствии с Правилами перевозок опасных грузов по железным дорогам.
Растворители, упакованные в транспортную тару, транспортируют в крытых грузовых вагонах и в универсальных контейнерах в соответствии с Правилами перевозок опасных грузов по железным дорогам и Техническими условиями размещения и крепления грузов в вагонах и контейнерах.
Разд. 4. (Измененная редакция, Изм, № 4).
Разд. 4. (Новая редакция, Изм. № 5).
5.1. Изготовитель гарантирует соответствие растворителей требованиям настоящего стандарта при соблюдении условий транспортирования и хранения.
(Измененная редакция, Изм. 2).
5.2. Гарантийный срок растворителей - не менее одного года с даты изготовления.
(Измененная редакция, Изм. № 3).
(Новая редакция, Изм. № 5).
6.1. Растворители марок Р-4, Р-4А, Р-5, Р-5А, Р-12 представляют собой легковоспламеняющиеся жидкости с характерным запахом, оказывающие сильное раздражающее действие на кожу, слизистую оболочку глаз и верхних дыхательных путей.
Возможные пути поступления вредных веществ в организм: ингаляционный и через кожные покровы.
Контроль за содержанием вредных веществ в воздушной среде на рабочем месте - по ГОСТ 12.1.005
Определение содержания вредных веществ в воздухе рабочей зоны проводят по методикам, разработанным по ГОСТ 12.1.005 И ГОСТ 12.1.016 и утвержденным органами здравоохранения.
Работы, связанные с изготовлением и применением растворителей, должны соответствовать действующим санитарным правилам и нормам*.
____________________
* Перечень нормативных документов, действующих в Российской Федерации, представлен в приложении 1.
6.2. Производство, испытания и применение растворителей должно соответствовать требованиям ГОСТ 12.1.004. ГОСТ 12.3.002. ГОСТ 12.3.005
6.3. Основные характеристики пожароопасности растворителей марок Р-4, Р-4А, Р-5, Р-5А, Р-12 представлены в табл. 3.
Таблица 3
| Марка растворителя | Температура самовоспламенения, °С | Температурные пределы распространения пламени, °С | |
|---|---|---|---|
| Нижний | Верхний | ||
| Р-4 | 550 | Минус 10 | 19 |
| Р-4А | 520 | Минус 8 | 11 |
| Р-5 | 513 | Минус 12 | 4 |
| Р-5А | 497 | Минус 3 | 24 |
| Р-12 | 490 | 5 | 36 |
Основные характеристики пожароопасности и токсичности растворителей, входящих в состав растворителей марок Р-4, Р-4А, Р-5, Р-5А, Р-12, представлены в табл. 4.
Таблица 4
| Наименование растворителя | Класс опасности по ГОСТ 12.1.005 | Предельно допустимая концентрация (ПДК) паров в воздухе рабочей зоны, мг/м3, по ГОСТ 12.1.005 | Пожароопасные характеристики | |||||
|---|---|---|---|---|---|---|---|---|
| Температура, °С | Температурные пределы распространения пламени, °С | |||||||
| вспышки в закрытом тигле | вспышки в открытом тигле | воспламенения | самовоспламенения | Нижний | Верхний | |||
| Ацетон | IV | 200 | Минус 20 | Минус 9 | Минус 5 | 535 | Минус 20 | 6 |
| Толуол | III | 50 | 4 | 5 | - | 536 | 6 | 37 |
| Ксилол | III | 50 | 29 | - | - | 590 | 24 | 50 |
| Бутил-ацетат | IV | 200 | 29 | 35 | 35 | 330 | 22 | 61 |
6.4. Лица, связанные с изготовлением и применением растворителей, должны быть обеспечены специальной одеждой и средствами индивидуальной защиты по ГОСТ 12.4.011 и ГОСТ 12.4.068.
6.5. Изготовление и применение растворителей проводят в помещениях, снабженных местной и общей приточно-вытяжной вентиляцией по ГОСТ 12.4.021
6.6. При загорании растворителей применяют средства огнетушения: кошму, песок, пенные огнетушители, пенные установки, тонкораспыленную воду, углекислый газ.
(Измененная редакция, Изм. № 2, 3, 4).
Разд. 6. (Новая редакция, Изм. № 5).
7.1. При производстве растворителей образуются жидкие или газообразные отходы, которые могут вызвать загрязнение атмосферного воздуха и воды.
7.2. С целью охраны атмосферного воздуха от загрязнений осуществляют контроль за соблюдением предельно допустимых выбросов (ПДВ) по ГОСТ 17.2.3.02 в порядке, установленном соответствующим органом исполнительной власти.
7.3. С целью охраны окружающей среды от загрязнений сточными водами организуют контроль за соблюдением предельно допустимых концентраций и ориентировочных безопасных уровней воздействия вредных веществ для воды рыбохозяйственных водоемов.
7.4. Все жидкие отходы в виде загрязненных растворителей возвращают на производство или направляют на очистные сооружения.
7.5. Обезвреживание отходов растворителей проводят путем их сбора и последующей переработки для повторного использования.
Разд. 7. (Введен дополнительно. Изм. № 5).
Справочное
| [1] ГН 2.2.5.1313-03 | Предельно допустимые концентрации (ПДК) вредных веществ в воздухе рабочей зоны |
| [2] ГН 2.2.5.1314-03 | Ориентировочные безопасные уровни воздействия (ОБУВ) вредных веществ в воздухе рабочей зоны |
| [3] ГН 2.1.5.1315-03 | Предельно допустимые концентрации (ПДК) химических веществ в воде водных объектов хозяйственно-питьевого и культурно-бытового водопользования |
| [4] ГН 2.1.5.1316-03 | Ориентировочные допустимые уровни (ОДУ) химических веществ в воде водных объектов хозяйственно-питьевого и культурно-бытового водопользования |
| [5] ГН 2.1.6.1338-03 | Предельно допустимые концентрации (ПДК) загрязняющих веществ в атмосферном воздухе населенных мест |
| [6] ГН 2.2.5.1314-03 | Ориентировочные безопасные уровни воздействия (ОБУВ) загрязняющих веществ в атмосферном воздухе населенных мест |
| [7] ГН 2.2.5.1827-03 | Предельно допустимые концентрации (ПДК) вредных веществ в воздухе рабочей зоны. Дополнение № 1 к ГН 2.2.5.1313-03 |
| [8] ГН 2.2.5.1828-03 | Ориентировочные безопасные уровни воздействия (ОБУВ) вредных веществ в воздухе рабочей зоны. Дополнение № 1 к ГН 2.2.5.1314-03 |
| [9] СанПин 2.1.7.1322-03 | Гигиенические требования к размещению и обезвреживанию отходов производства и потребления». |
Приложение. (Исключено, Изм. № 4).
Приложение 1. (Введено дополнительно. Изм. № 5).
1. РАЗРАБОТАН И ВНЕСЕН Министерством химической промышленности СССР
РАЗРАБОТЧИКИ
А.И. Непомнящий, К.Г. Сулимова, О.Г. Курбатова
2 УТВЕРЖДЕН И ВВЕДЕН В ДЕЙСТВИЕ Постановлением Государственного комитета стандартов Совета Министров СССР от 15.04.74 № 889
3 Периодичность проверки - 5 лет
4 ВЗАМЕН ГОСТ 7827-55
5 ССЫЛОЧНЫЕ НОРМАТИВНО-ТЕХНИЧЕСКИЕ ДОКУМЕНТЫ
| Обозначение НТД, на который дана ссылка | Номер пункта, подпункта | Обозначение НТД, на который дана ссылка | Номер пункта, подпункта |
|---|---|---|---|
| ГОСТ 12.1.004-91 | 6.2 | ГОСТ 1770-74 | 3.2.1 |
| ГОСТ 12.1.005-88 | 6.1,6.3 | ГОСТ 4220-75 | 3.2.1 |
| ГОСТ 12.1.016-79 | 6.1 | ГОСТ 5105-82 | 4.1 |
| ГОСТ 12.1.044-89 | 1.3 | ГОСТ 5799-78 | 4.1 |
| ГОСТ 12.3.002-75 | 6.2 | ГОСТ 6128-81 | 4.1 |
| ГОСТ 12.3.005-75 | 6.2 | ГОСТ 6247-79 | 4.1 |
| ГОСТ 12.4.011-89 | 6.4 | ГОСТ 6507-90 | 3.7.1, 3.7.4 |
| ГОСТ 12.4.021-75 | 6.5 | ГОСТ 6613-86 | 3.7.1, 3.7.3 |
| ГОСТ 12.4.068-79 | 6.4 | ГОСТ 9980.1-86 | 2.1 |
| ГОСТ 17.2.3.02-78 | 7.2 | ГОСТ 9980.2-86 | 3.1 |
| ГОСТ 9980.3-86 | 4.1 | ГОСТ 23955-80 | 1.3, 3.5 |
| ГОСТ 9980.4-2002 | 4.2 | ГОСТ 24104-2001 | 3.6.1 |
| ГОСТ 9980.5-86 | 4.3 | ГОСТ 25336-82 | 3.5, 3.6.1 |
| ГОСТ 13950-91 | 4.1 | ГОСТ 26319-84 | 4.1 |
| ГОСТ 14192-96 | 4.2 | ГОСТ 284990 | 3.4.1 |
| ГОСТ 14870-77 | 1.3, 3.3 | ГОСТ 29227-91 | 3.5 |
| ГОСТ 16523-97 | 3.7.1, 3.7.4 | ГОСТ 29251-91 | 3.4.1, 3.6.1 |
| ГОСТ 18300-87 | 3.6.1 | ГОСТ 30765-2001 | 4.1 |
| ГОСТ 19433-88 | 4.2 | ГОСТ 30766-2001 | 4.1 |
| ГОСТ 21029-75 | 4.1 | ГОСТ 31089-2003 | 1.2 |
(Новая редакция. Изм.№ 5).
9. Срок действия продлен до 01.01.95 Постановлением Госстандарта СССР от 20.12.88 № 4324
7. ПЕРЕИЗДАНИЕ (апрель 1993 г.) с Изменениями № 1, 2, 3, 4, утвержденными в октябре 1976 г., октябре 1970 г., июне 1984 г., декабре 1988 г. (11-76, 11-79, 9-84, 3-89)
